Short Takes #7: We Can Teach Our Children Nothing
Albert Einstein | AI Vending Machine Flops | Just In Time For Holiday Travel | Tech Layoffs | TikTok Brain
The only progress I can see is progress in organization. The ordinary human being does not live long enough to draw any substantial benefit from his own experience. And no one, it seems, can benefit by the experiences of others. Being both a father and teacher, I know we can teach our children nothing. We can transmit to them neither our knowledge of life nor of mathematics. Each must learn its lesson anew.
| Albert Einstein
…
Perhaps Einstein’s thought is most relevant to the last story in this post: TikTok Brain.
Last week for the 2025 Special: 40% off annual subscription.
AI Vending Machine Flops
Anthropic’s Claude AI ran a vending machine — called Claudius — at WSJ headquarters for several weeks, as an experiment. Claudius lost hundreds of dollars, bought some weird things (goldfish, a Playstation) and raised questions about the future of AI agents in business 'roles'.
Perhaps the oddest oddity was how WSJ staff were able to screw with its head, like convincing it to give away goods for free, and to attempt to depose a second, CEO 'bot that Claudius 'worked' for.
Just In Time For Holiday Travel
It’s not just your imagination – the data backs up the feeling that travel has become more unruly.
Since 2019, the FAA has seen a 400% increase of in-flight outbursts—ranging from disruptive behavior to outright violence
13,800 unruly passenger incidents since 2021
Unruly passenger reports rose 6x between 2020 and 2021
1 in 5 flight attendants experienced physical incidents in 2021
2024 saw double the number of unruly passenger events compared with 2019
But I doubt that Duffy’s ‘civility campaign’ will do anything to stem this trend. That’s just another example of the institution that is supposed to regulate an industry allowing the companies to do whatever they want — like miniaturizing airline seats — and then when bad things result, the blame is placed on the individuals, not the companies.
Tech Layoffs
Layoffs at tech companies are more likely driven by financial stress from significant AI spending rather than the technology replacing workers, argue Gary N. Smith and Jeffrey Funk in Fast Company. “When companies are financially stressed, a relatively easy solution is to lay off workers and ask those who are not laid off to work harder and be thankful that they still have jobs. AI is just a convenient excuse for this cost-cutting.”
| Kevin J. Delaney, What women need to thrive in the workplace
The beatings will continue until morale improves.
TikTok Brain
Derek Thompson shares some startling research [emphasis mine]:
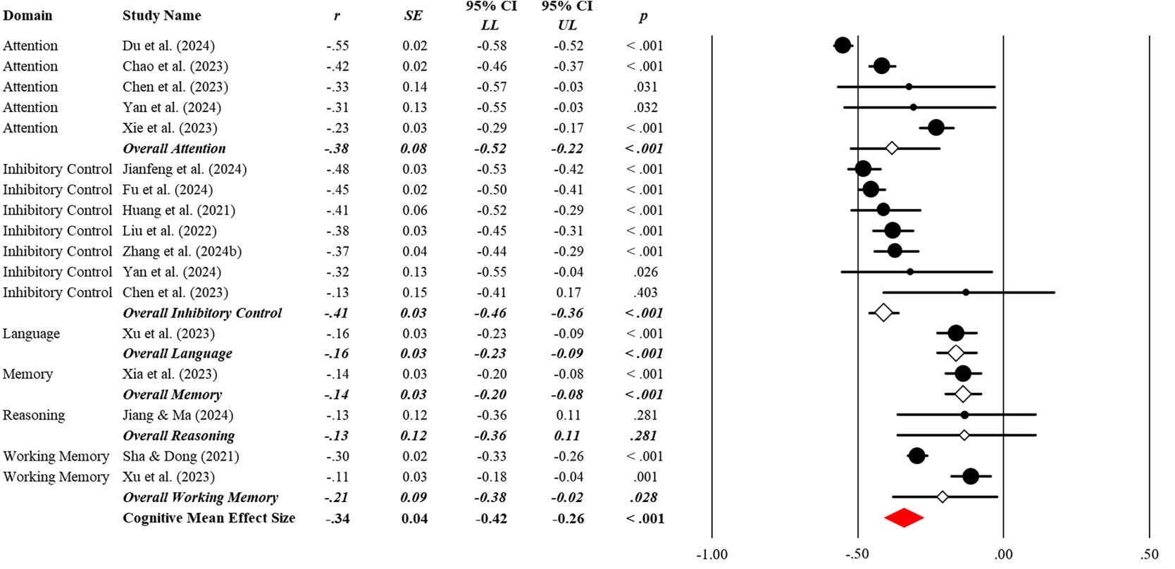
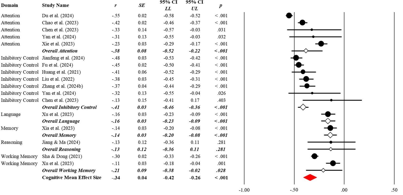
A systematic review of 71 studies with 98,000 participants published in 2025 reached an alarming finding. Across the dozens of studies, heavy short-form video users showed moderate deficits in attention, inhibitory control, and memory. In the chart below, you can see a consistently negative, if also heterogeneous, relationship between heavy short-form video use and problems with attention, memory, and control.
Source: Nguyen, et al
Several studies in the meta-analysis reported structural and functional differences in the prefrontal cortex and reward circuits among high-frequency users, while others found cognitive flexibility reductions and altered dopaminergic reward responses. None of this proves causation. But taken together, they suggest a plausible mechanism: a daily diet of hyper-rewarding, rapid-fire stimuli may gradually reshape attention and regulatory systems in ways that weaken our attentional control. It is, of course, possibly that people with weaker cognitive control are simply more drawn to slot-machine media in the first place.
Don’t let this be you.


Wondering if the nuclear family doesn't offer enough important calculus for kids -> the parents' world view compared to the grand parents' word view and the parents' world view compared to the child's evolving world view (tested intensely from 13 to 19 year old) results in a order of magnitude difference in a calculus ... So ADHD is the result of isolation with a game or a boob tube standing in for an empty house with both parents working long hours.